Коэффициент мощности – Power Factor (PF)
Коэффициент мощности. Power Factor (PF). Смещённый коэффициент мощности. Displacement Power Factor (DPF).
Power Factor (PF) – коэффициент мощности – англ.
Displacement Power Factor (DPF) – смещенный коэффициент мощности – англ.
Коэффициент мощности – это комплексный показатель, характеризующий линейные и нелинейные искажения формы тока и напряжения в электросети, обусловленные влиянием нагрузки (например, ИБП).
Вычисляется как отношение поглощаемой нагрузкой активной мощности к полной.
Типовые значения коэффициента мощности:
- 1 – идеальное значение.
- 0.9 – хороший показатель.
- 0.8 – типовая промышленная нагрузка.
- 0.7 – компьютерная нагрузка.
- 0.65 – двухполупериодный выпрямитель.
В случае линейной нагрузки коэффициент мощности равен косинусу угла сдвига между током и напряжением и в зависимости от характера нагрузки может носить емкостной или индуктивный характер.
В случае активной нелинейной нагрузки коэффициент мощности определяется отношением активной мощности первой гармоники тока к полной мощности, потребляемой нагрузкой (это определение справедливо только в частном случае, когда напряжение имеет чистую синусоидальную форму).
Необходимо заметить, что реальная промышленная нагрузка является нелинейной и носит преимущественно индуктивный характер (PF=0.8).
Терминология, используемая в измерительных приборах (например, анализаторе HIOKI3197)
Если коэффициент мощности характеризует процессы в цепи с несинусоидальными сигналами, то могут применяться два различных термина обозначающих коэффициента мощности:
Power Factor (PF) – коэффициент мощности. Вычисляется с использованием среднеквадратичных значений (СКЗ) всех гармоник сигнала.
Displacement Power Factor (DPF) – смещённый коэффициент мощности. Вычисляется с использованием среднеквадратичных значений (СКЗ) только основной (первой / фундаментальной) гармоники сигнала. То есть он равен косинусу (cos) фазового сдвига между током и напряжением основной гармоники.
PF=DPF при гармонических (синусоидальных) сигналах.
Коэффициент мощности несинусоидальных токов и напряжений
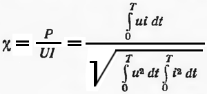
Коэффициент мощности токов и напряжений, в которых присутствуют гармонические (нелинейные) искажения, вычисляется так же как и в случае синусоидальных сигналов (см. «Г.И. Атабеков Основы Теории Цепей» с.176, 434 с):
Коэффициенты, характеризующие периодические несинусоидальные функции. По аналогии с гармоническими функциями отношение активной мощности при несинусоидальных токах к полной мощности называется коэффициентом мощности и обозначается χ:
Планируется размещение дополнительных статей с рабочими названиями:
«Коэффициент мощности».
«Коэффициент мощности. Дополнения».
Если коэффициент мощности характеризует процессы в цепи с несинусоидальными сигналами, то могут использоваться два различных термина обозначающих коэфф. мощности:
PF – Power Factor или Коэфф. Мощности вычисляется с использованием СКЗ значений всех гармоник сигнала.
DPF – Displacement Power Factor или Смещённый Коэфф. Мощности вычисляется с использованием СКЗ значения только основной (т.е. первой или фундаментальной) гармоники. Тоесть он равен косинусу разницы фаз между током и напряжением основной гармоники.
Для случая синусоидальных сигналов PF=DPF.
Эта терминология используется например в анализаторе HIOKI3197.
Главная



